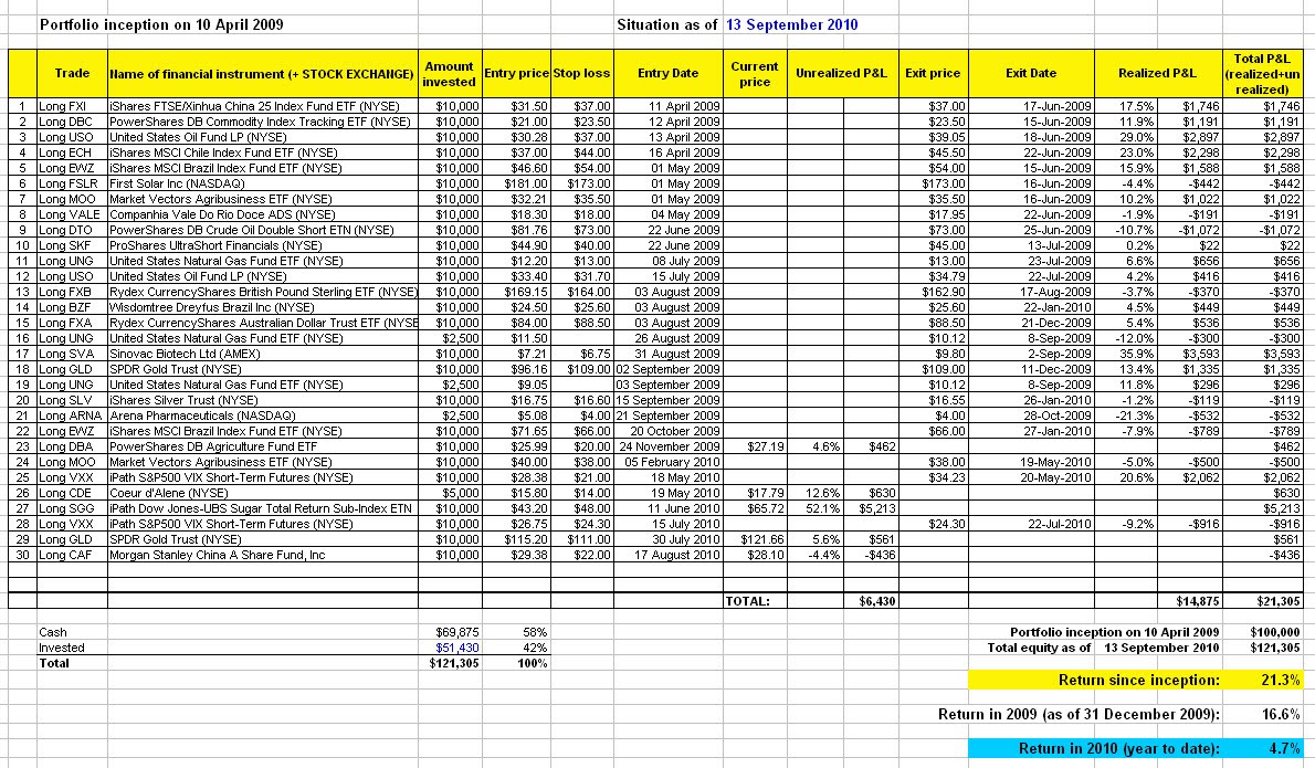
For the "Agricultural tracker" DBA (PowerShares DB Agriculture Fund ETF), I entered at a price of $25.99 on November 24, 2009. See my post of November 22, 2009 on investing in agriculture. The price is currently at $27.9, generating a performance of +7.3% in 10 months.
I raise my stop loss from $20.0 to $26.5.
For the "Gold tracker" GLD (SPDR Gold Trust), I entered at a price of $115.2 on July 30 of this year. Current price is at $126.69, which means a performance of +10% in 2 months. I raise my stop from $111 to $120.5.
For the "Sugar tracker" SGG (iPath Dow Jones-UBS Sugar Total Return Sub-Index ETN), I entered at a price of $43.2 on June 11 of this year. See my post of June 8 on sugar. Current price stands at $71.20, generating a return of +64.8% in 3.5 months. I raise my stop from $48 to $60.
The price of sugar, as well as other soft agricultural commodities (coffee, cotton, rice, corn, wheat, soybeans), has increased a lot in the last 3 months.
For the gold and silver mine CDE (Coeur D'Alene Mines Corp), I entered at a price of $15.8 on May 19, 2010. Currently the price stands at $19.61. Return: +24.1% in 4 months. I raise my stop loss from $14.0 to $18.5.
As of today, I reach an overall portfolio performance of +7.4% year-to-date.
Let's benchmark this performance with the S&P500 index: this index a made a performance of +3.01% year-to-date.
On the table hereafter is a recap of open positions and the revised stop loss levels highlighted in yellow.





